开关电源可分为直流开关电源和交流开关电源,是按输出来区分的,交流开关电源输出的是交流电,而直流开关电源输出的是直流电,这里介绍的是直流开关电源。随着相关元器件的发展,直流开关电源以其高效率在很多场合代替线性电源而获得广泛应用。
直流开关电源与线性电源相比一般成本较高,但在有些特别场合却更简单和便宜,甚至几乎只能用开关电源,如升压和极性反转等。直流开关电源还可分为隔离的和不隔离的两种,隔离的是采用变压器来实现输入与输出间的电气隔离,变压器还便于实现多路不同电压或多路相同电压的输出。
直流开关电源结构复杂,设计和分析都有较特别的一套理论和方法,这里主要介绍6种基本的不隔离的直流开关电源结构形式和其特点,便于依据应用场合来选择使用。
理想假定:为便于分析,常假定存在如下理想状态
1. 电子器件理想:电子开关管Q和D的导通和关断时间为零,通态电压为零,断态漏电流为零
2. 电感和电容均为无损耗的理想储能元件,且开关频率高于LC的谐振频率
3. 在一个开关周期内,输入电压Vin保持不变
4. 在一个开关周期内,输出电压有很小的纹波,但可认为基本保持不变,其值为Vo
5. 不计线路阻抗
6. 变换器效率为100%
一、Buck变换器:也称降压式变换器,是一种输出电压小于输入电压的单管不隔离直流变换器。

图中,Q为开关管,其驱动电压一般为PWM(Pulse width modulation脉宽调制)信号,信号周期为Ts,则信号频率为f=1/Ts,导通时间为Ton,关断时间为Toff,则周期Ts=Ton+Toff,占空比Dy= Ton/Ts。
Buck变换器有两种基本工作方式:
CCM(Continuous current mode):电感电流连续模式,输出滤波电感Lf的电流总是大于零
DCM(Discontinuous current mode):电感电流断续模式,在开关管关断期间有一段时间Lf的电流为零
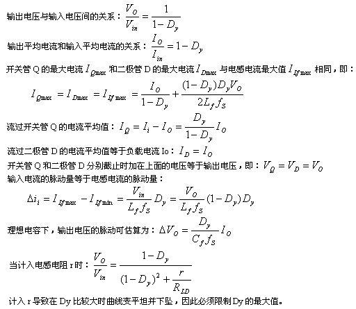
1.1 CCM时的基本关系:

1.2 DCM时的基本关系:

DCM可分为两种典型情况:
输入电压Vin不变,输出电压Vo变化,常用作电动机速度控制或充电器对蓄电池的恒流充电
输入电压Vin变化,输出电压Vo恒定,即普通开关稳压电源
1.3 电感电流临界连续的边界:

1.3.1 输入电压恒定不变时:Vin=const

可画出Buck变换器在Vin=const时的外特性曲线:

图中虚线为电感电流临界连续的边界,内部为电流断续区,外面为电流连续区。
理想情况下,在电流断续区输出电压仅由占空比Dy确定。实际电路中,因元器件的非理想化,在电感电流的连续区,Buck变换器的外特性也是下降的,即Io加大,Vo降低。为保持Vo不变,在Io增加时,要适当加大占空比Dy。
1.3.2 输出电压恒定不变时:Vo=const

可画出Buck变换器在Vo=const时的标幺特性曲线:

图中虚线为电感电流临界连续的边界,右上方为电流连续区,左下为电流断续区。
在电感电流临界连续时,若加大负载,则进入电流连续工作区;减小负载,则进入电流断续区。
若负载不变,减小输入电压Vin,为使Vo不变,应加大Dy,也进入电流连续区。
二、Boost变换器:也称升压式变换器,是一种输出电压高于输入电压的单管不隔离直流变换器。

开关管Q也为PWM控制方式,但最大占空比Dy必须限制,不允许在Dy=1的状态下工作。电感Lf在输入侧,称为升压电感。Boost变换器也有CCM和DCM两种工作方式。
2.1 CCM时的基本关系:
Q导通时为电感Lf储能阶段,此时电源不向负载提供能量,负载靠储于电容Cf的能量维持工作;Q关断时,电源和电感共同向负载供电,此时还给电容Cf充电。变换器必须接负载,不然会因能量不断送到负载端而使Vo不断升高而损坏。

2.2 DCM时的基本关系:

在电流断续时,即使输入电压Vin不变,为了保持输出电压Vo恒定,也要随负载电流的不同来调整占空比Dy。

2.3 电感电流临界连续的边界:

2.3.1 输入电压恒定不变时:Vin=const

2.3.2 输出电压恒定不变时:Vo=const

2.3.3 电感电流临界连续的边界曲线:上方为电感电流连续区,下方为断续区

电流断续时,开关管Q导通期间存储在电感Lf中的磁能在Q截至期间全部通过二极管D转移到输出端,如果变换器不接负载电阻,或电阻太大,必使Vo不断增加,因此没有电压闭环调节的Boost变换器不能在输出端开路情况下工作。
三、Buck/Boost变换器:也称升降压式变换器,是一种输出电压既可低于也可高于输入电压的单管不隔离直流变换器,但其输出电压的极性与输入电压相反。Buck/Boost变换器可看做是Buck变换器和Boost变换器串联而成,合并了开关管。

Buck/Boost变换器也有CCM和DCM两种工作方式,开关管Q也为PWM控制方式。
3.1 CCM时的基本关系:
电感Lf用于储能和转换能量,Q导通时电感Lf储能,负载由电容Cf供电;Q关断时,电感向负载供电。

3.2 DCM时的基本关系:

3.3 电感电流临界连续的边界:

3.3.1 输入电压恒定不变时:Vin=const

3.3.2 输出电压恒定不变时:Vo=const

3.3.3 电感电流临界连续的边界曲线:上方为电感电流连续区,下方为断续区

由图可见,在Vo=const时,如果Dy<0.5,即Vo<Vin,变换器很容易进入电感电流断续区。
由于这种变换器的输出电流和电感电流不同,故二者的边界不相同,输出电流Io的边界线在电感电流的下方,因为Io只是电感电流的一部分。
四、Cuk变换器:美国加州理工学院Slobodan Cuk提出的对Buck/Boost改进的单管不隔离直流变换器,在输入输出端均有电感,可以显著减小输入和输出电流的脉动,同样是输出电压的极性与输入电压相反,同样是输出电压既可低于也可高于输入电压。Cuk变换器可看做是Boost变换器和Buck变换器串联而成,合并了开关管。

开关管Q也为PWM控制方式。Cuk变换器也有CCM和DCM两种工作方式,但不是指电感电流,而是指流过二极管的电流连续或断续。在一个开关周期中开关管Q的截止时间(1-Dy)Ts内,若二极管电流总是大于零,则为电流连续;若二极管电流在一段时间内为零,则为电流断续工作;若二极管电流在t=Ts时刚降为零,则为临界连续工作方式。
Cuk变换器中有两个电感,这两个电感之间可以没有耦合,也可以有耦合,耦合电感可进一步减小电流脉动量。
分析时增加一个假设:耦合电容C1容量很大,变换器在稳态工作时C1的电压基本保持恒定。
4.1 CCM时的基本关系:
Cuk变换器中,电源能量经过3次变换才到负载。第一次是Q导通,电感L1储能增长,电能转换为磁储能;第二次是Q截止,L1的磁能转移为C1的电能存储着;第三次是Q导通,C1的电能转移到负载和输出回路的电感L2和电容Cf。实际上,第一、三次两个转换是同时进行的。

Cuk变换器中两电感电流增长率和下降率仅与Vin、Vo和自身电感大小有关。电感确定后,两电流增长率只由Vin大小决定,分别为Vin/L1和Vin/L2;下降率只与Vo有关,分别为Vo/L1和Vo/L2。
4.2 DCM时的基本关系:

4.3 两电感有耦合的Cuk变换器:
如果两电感L1和L2绕在同一铁芯上,
则两个电感互相耦合,除自感外还有互感M,通常用耦合系数k来表示耦合程度:

耦合电感可以进一步减小输入电流和输出电感电流的脉动。
五、Zeta变换器:有两个电感和耦合电容的单管不隔离直流变换器,输出电压极性和输入电压相同。Zeta变换器可看做是Buck/Boost变换器和Buck变换器串联而成,合并了开关管。

Zeta变换器是电感输出,所以输出电流脉动很小,开关管Q也为PWM控制方式。
分析时假设耦合电容C1容量很大,变换器在稳态工作时C1的电压基本保持恒定。
5.1 CCM时的基本关系:

5.2 DCM时的基本关系:

六、Sepic变换器:有两个电感和耦合电容的单管不隔离直流变换器,输出电压极性和输入电压相同。Sepic变换器可看做是Boost变换器和Buck/Boost变换器串联而成,合并了开关管。

Sepic变换器是电感输入,所以输入电流脉动很小,开关管Q也为PWM控制方式。
分析时假设耦合电容C1容量很大,变换器在稳态工作时C1的电压基本保持恒定。
CCM时的基本关系:

|